尊龙z6·官网

×

Chlortetracycline Feed Grade (Powder/Granule)

Chlortetracycline (CTC) Feed Grade is a broad-spectrum antimicrobial drug with a long history of use in animals which is usually administered in the feed for prophylactic purposes. It is classified as tetracycline antibiotics with good bacteriostatic effects against both gram positive and gram negative bacteria, mycoplasma, chlamydia, rickettsia, tubercle bacillus and virus. It is active in the inhibition and treatment of white dysentery, enteritis, pheumonia, typhoid, paratyphoid, cholera etc. in poultry and livestock. Chlortetracycline can also promote the permeation and absorption of the nourish elements, stimulating hypophysis to produce hormone and adjusting appetites. It results in obvious growth promotion for poultry, livestock and so on, also greatly increases the reward of feed.


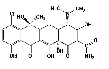
molecular formula】C22H23CIN2O8

molecular weight478.88

structure


de2.png


No. of Manufacturer License for Veterinary Drug: (2021)05008

No. of Certificate of GMP for Animal Drugs: (2021)05017

Specifications: 10-25%, in powder or granule form

Analytical Method: by HPLC

Shelf Life: 18 months (1.5 year)

Packing: in bags 25kgs net each

Storage: sealed and stored in a cool and dry place without sunlight


xxxxx
  • Person: Mr.Wang Zhisheng

    Email gsm@zjyjlzp.com

  • Person: Mr. David Zhou

    Fax -

    Email gsm@zjyjlzp.com

蒙ICP备05000655号-2  Technical support:国风网络  Website map